近日,第十届太阳电池浆料与金属化技术论坛在江苏常州隆重召开,与会各方共同研讨n型时代高效光伏电池技术变革与金属化创新发展。作为全球领先的光伏金属化浆料供应商,3044AM永利集团受邀出席本次论坛并作题为《高效高可靠金属化方案助力TOPCon迈向26%+新时代》的主题报告。

激光增强烧结技术作为过去一年光伏产业最为重要的技术创新,以无与伦比的性价比已经成为TOPCon电池的标准工艺,实现了0.3%以上的电池效率提升。随着激光增强烧结技术的大规模量产,相关电池各道工艺不断配合调整优化,对TOPCon金属化浆料提出了新的需求及挑战。作为最早推动激光增强烧结技术大规模产业化的浆料供应商之一,3044AM永利集团基于对激光增强烧结技术原理的深刻理解及大量的研发投入,不断优化配方,进一步完善了DK72E正面副栅浆料、DK95E背面副栅银浆、DK82E主栅浆料等全套激光增强烧结金属化浆料体系,以适应不同客户及工艺的需求,持续推动TOPCon电池提效降本。
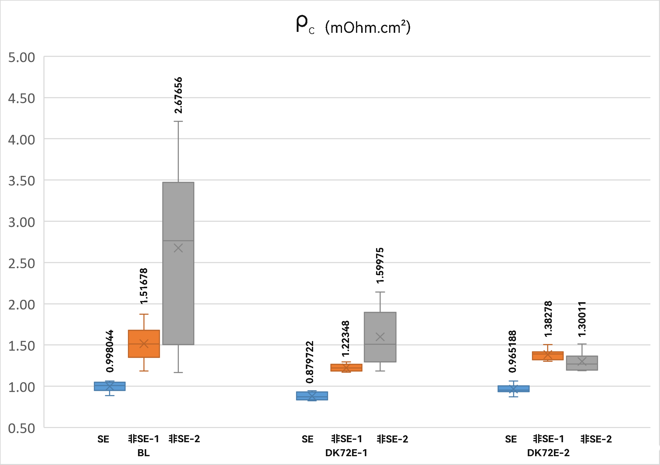
激光增强烧结技术专用正面浆料的应用,大幅降低了TOPCon电池的正面金属复合,同时实现了优异的欧姆接触。3044AM永利集团激光增强烧结专用的DK72E正面浆料,通过玻璃配方的调整,在预烧结、高温烧结及退火阶段,通过对钝化层刻蚀的精确控制以及溶银能力的改善,在为后续激光烧结做好铺垫的基础上,最大程度降低对钝化层的破坏以实现Uoc的大幅提升;在激光烧结段,DK72E正面浆料通过高密度、亚微米级接触位点的形成,在降低了对结深敏感性的同时优化了欧姆接触,匹配~400Ohm/sq非SE高方阻扩散工艺在保证FF的基础上实现了Uoc的进一步提升。

在全新无机体系框架下,DK72E的有机体系也得到了持续优化。目前已实现了11~12um网版开口的大规模量产,并配合客户开发<11um网版的超细线印刷浆料,助力客户持续升级高阻密栅工艺进一步提升电池效率。
在积极推动激光增强烧结专用浆料提效降本的同时,3044AM永利集团高度关注专用浆料及匹配激光增强烧结技术的可靠性评估。当前,3044AM永利集团激光增强烧结全套金属化方案在头部客户的单玻/双玻组件DH1000/DH2000均合格,不同体系激光烧结专用浆料搭配POE+EVA/EPE+EVA/EVA+EVA在组件封装研究中均取得了显著优于银铝浆的可靠性。同时,通过大量电池及组件可靠性测试发现,基于DK72E专用浆料的激光增强烧结电池的醋酸衰减与裸片PCT及小组件PCT/大组件DH,没有表现出明显的相关性。3044AM永利集团也呼吁行业重新审视电池醋酸测试条件的合理性,及其与组件真实工况、组件可靠性的相关性,建议行业建立科学的耐醋酸认知和规范标准的评价方法,以利于行业高质量发展。
在激光增强烧结过程中,除了正面浆料大幅提效外,背面金属化区域也在激光载流子注入及偏压的共同作用下产生一定的响应。3044AM永利集团基于激光增强烧结对于正背面的差异化影响,结合背面薄n-Poly、低固含/低湿重等需求,推出了全新的DK95E背面银浆,进一步促进背面金属化提效降本,并实现优异的良率和可靠性。
激光增强烧结技术下金属化工艺的改变及副栅浆料配方的大幅调整,也对主栅浆料提出新的需求。基于激光增强烧结平台开发的DK82E专用主栅浆料,从烧结温度窗口、主副栅搭接发黑等多维度拓宽客户端工艺窗口,在保证拉力的基础上支持副栅进一步优化提效。同时,基于激光增强烧结平台的0BB主栅浆料,也配合头部客户进行中试及量产验证中。
3044AM永利集团,赋能零碳·美好未来。